《岩浆作用与青藏高原形成》团队 · TibetZhu

矿物激光微区分析实验室 · Milma Lab

  Mineral Laser Microprobe Analysis Laboratory

一、实验室简介

矿物激光微区分析实验室(Milma Lab由朱弟成教授团队创建,成立于201511月,隶属于中国地质大学(北京)科学研究院,是地质过程与成矿预测全国重点实验室的重要组成部分。实验室配备了NewWave 193 UC 准分子激光剥蚀进样系统(LAASI RESOlution S155LR 高能量准分子激光器(HE-LAAgilent 7900四级杆型等离子体质谱仪(Q-ICP-MSThermo Fisher Neptune Plus 多接收等离子体质谱仪(MC-ICP-MS等大型仪器。

矿物激光微区分析实验室目前有专任教师2名,同时,每年有10-15名研究生在实验室学习并承担相关样品分析测试工作。实验室人员目前主要承担了国家自然科学基金和全国重点实验室自主课题等项目。实验室自成立以来,面向全校师生及校外同行开放,提供了优质可靠的分析服务和技术支撑,已累计服务社会超过20000小时,支持科研人员发表论文近百篇


二、实验室应用领域及服务

实验室主要关注岩石学和地球化学领域的相关测试技术研发和样品分析,目前主要进行矿物原位微区元素和同位素成分分析,具体包括:

1. U矿物的激光原位U-Pb定年(锆石、斜锆石、榍石、磷灰石、磷钇矿、独居石、铌钽矿、氟碳铈矿、钙钛矿、石榴子石、金红石、锡石、白钨矿、褐帘石、方解石、白云石);

2. 矿物激光元素分析,可分析矿物种类:硅酸盐、磷酸盐、碳酸盐、氧化物、硫化物(非富Pb);

3. 矿物激光元素面扫(Mapping/Imaging);

4. 锆石激光原位U-PbHf同位素深度剖面分析;

5. 电气石、锂辉石、云母等矿物原位Li-B同位素分析;

6. 锆石等矿物原位Si-Zr-Hf同位素分析;

7. 磷灰石、单斜辉石、斜长石、榍石方解石等矿物原位Sr-Nd同位素分析;

8. 长石、硅酸盐玻璃等矿物原位Pb同位素分析。

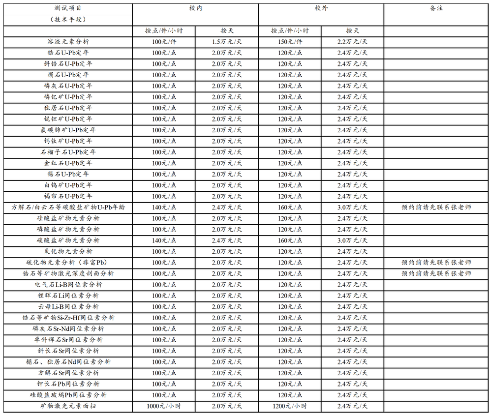
Milma实验室基于资源共享原则,参照国内同类型实验室的平均收费标准和实验室成本,制定下述收费标准。

收费原则:按点还是按天计算收费方式实验室有最终决定权

最低收费:如果由于样品本身或用户操作不当等原因,造成样品分析效率降低,无论当日样品分析量多少,都按最低20000/天的标准收费。

工作簿1_Sheet1.png


三、代表成果

1. U矿物U-Pb定年技术

本实验室利用LA-Q/MC-ICP-MS仪器系统,开发了一系列低U矿物U-Pb定年技术。包括石榴石、金红石、磷灰石、方解石、白云石等。其中碳酸盐U-Pb定年技术得到了广泛应用,在对岩层裂隙中的方解石脉(Wei et al., 2023, SG)、矿床流体方解石脉(Wang et al., 2022, OGR、白云岩地层(Huang et al., 2025, PR和火山岩碎屑岩中的白云石(Gao et al., 2024, Lithos)进行U-Pb定年过程中都得到了很好的结果。

图片1.png

1 塔里木盆地埃迪卡拉系奇格布拉克组白云岩激光光原位U-Pb年龄(Huang et al., 2025, PR


2. 高空间分辨率U-Pb定年技术

本实验室利用LA-MC-ICP-MS仪器系统,将锆石、铌钽矿等矿物的U-Pb定年方法的空间分辨率提高到5-10 μm,该方法已成功应用小颗粒锆石和具有复杂环带的铌钽矿样品的研究工作中(Yang et al., 2024, JAAS)。

图片2.png

2 采用10μm激光束斑对具有复杂分带结构的铌钽矿样品进行定年(Yang et al., 2024, JAAS


3. 深度剖面分析技术

本实验室通过对锆石等矿物采用特殊手段备样(不抛光/过抛光),并结合Iolite软件的信号分段策略开发了锆石深度剖面(depth profiling)分析技术,纵向空间分辨率可达0.6μm,显著提高了锆石U-Pb定年数据的使用率和新年龄组发现的概率(Lu et al., 2024)。该方法已经应用到喜马拉雅淡色花岗岩中具有极窄生长边(<2 μm)的锆石U-Pb年代学研究工作中(Liu et al., 2022, GRL)。

图片3.png

3 采用激光深度剖面(depth profiling)分析技术对喜马拉雅淡色花岗岩进行分析得出的多段年龄(Liu et al., 2022, GRL


4. 元素Mapping/Imaging技术

本实验室采用LA-ICP-MS仪器系统对矿物进行元素面扫(Mapping/Imaging),可以精确识别矿物中元素的变化特征和规律,最高分辨率可达7 μm。采用该方法,成功识别出了流纹岩中由锆石记录的岩浆混合信息(Chen et al., 2021, AM)。

图片4.png

4 采用激光元素面扫技术(Mapping)对西藏措勤流纹岩具有复杂核边结构的锆石进行分析,清晰的显示了锆石不同位置的元素变化特征(Chen et al., 2021, AM


5. 锆石原位Zr同位素分析技术

本实验室通过不同纳秒激光器与MC-ICP-MS联用,采用不同激光剥蚀参数,通过对比剥蚀坑圆滑度和坑底形态、同位素信号强度和衰减度、同位素比值的均一性,最终确定锆石原位Zr同位素测试参数。利用这些参数对不同锆石标样开展测试分析,得到不同锆石标样结果与溶液测试结果在误差范围内一致,且分析精度优于前人通过纳秒激光器测得结果(Xie et al., 2023 IJMS)。

图片5.png

5 不同锆石标样原位Zr同位素分析结果


6. 电气石、锂辉石、云母等矿物原位Li-B同位素分析技术

本实验室通过利用MC-ICP-MS的法拉第杯、离子计数器以及高阻放大器,建立电气石、锂辉石、云母等矿物原位Li-B同位素分析方法;此外通过加入水蒸气的方法,建立非基体匹配的矿物微区原位Li-B同位素分析技术。该分析方法已经为伟晶岩型锂矿中不同矿物的Li同位素组成研究提供了大量分析测试。


7. 原位Si同位素分析技术

本实验室通过利用纳秒激光器与MC-ICP-MS联用方法,更改载气流速、激光剥蚀参数和对比信号强度与单点分析误差等方法对Si同位素测试进行条件优化,得到长期线扫Mud Tank δ30Si精度为0.14%2SD)。通过对硅酸盐岩粉末进行熔片,原位Si同位素分析结果与溶液法测得结果在误差范围内一致,表明采用熔片法制备样品可以快速的获取地质样品Si同位素组成。


8. 标准样品研发

本实验室开发了一系列用于激光原位U-Pb定年和同位素分析的标准参考物质。包括:世界上普通Pb最低的U-Pb定年磷灰石标样MAP-3Duan et al., 2023, JAAS;最年轻U-Pb定年磷灰石标样MAP-2Duan et al., 2023, IJMS);全球首颗巨晶方解石U-Pb定年标样TARIMZhang et al., 2023, JAAS);激光Zr-Hf同位素标样BAN-1锆石(Xie et al., 2022, GGR)。

图片6.png

6 a世界上普通Pb最低的U-Pb定年磷灰石标样MAP-3Duan et al., 2023, JAAS;(b最年轻U-Pb定年磷灰石标样MAP-2Duan et al., 2023, IJMS;(c全球首颗巨晶方解石激光原位U-Pb定年标样(Zhang et al., 2023, JAAS;(d激光Zr-Hf同位素标样BAN-1锆石(Xie et al., 2022, GGR


四、主要仪器

1. 准分子激光剥蚀系统Laser

图片7.png

设备型号:NewWave193 UC

性能指标:激光脉冲宽度:5 ns;激光最大能量:15 J/cm2;激光束斑大小:2-150 μm可调;全样品室空间稳定性:2-4%RSD

主要功能:准分子激光剥蚀系统是基于激光的微损固体进样工具。激光剥蚀是由脉冲激光能量照射固体样品表面,并产生等离子体,等离子体冷凝成核并形成纳米级颗粒,将蚀后的颗粒被运移到质谱进行分析。


2. 高能量准分子激光剥蚀系统HE-Laser

图片8.png

设备型号:ASI RESOlution S155 LR

性能指标:   激光脉冲宽度:20 ns激光最大能量密度:45 J/cm2激光束斑大小:4-380 μm可调全样品室空间稳定性:1-3% RSD

主要功能:高能量准分子激光器可对目前所有矿物进行有效剥蚀;配备超大样品室和自定义样品托架,扩展了对不同种类地质样品的适应性;双体积样品室的高效吹扫极大提高了整个系统的稳定性,进而提高了数据的可靠性。


3. 四级杆等离子体质谱仪Q-ICP-MS

图片9.png

设备型号:Agilent 7900

性能指标:灵敏度:Li>6cpsY>30cpsTl>20cps;短期稳定性(20 m):<2%;长期稳定性(2 h):<3%

主要功能:利用高温电感耦合等离子体源对样品进行离子化,并通过四级杆型质量分析器对元素和同位素进行快速顺序扫描的质谱系统。


4.多接收电感耦合等离子体质谱仪MC-ICP-MS

图片10.png

设备型号:Thermo Fisher Neptune Plus

性能指标:分辨率:低分辨≥450;中分辨≥6000分辨≥10000短期稳定性(10 m):<1%;长期稳定性(1 h):<2%;系统稳定性(1h):<50 ppm; 灵敏度:Li15 V/ppmFe10 V/ppmSr45 V/ppmNd40V/ppmHf40 V/ppmPb45 V/ppmU45 V/ppm

主要功能:利用高温电感耦合等离子体源对样品进行离子化,通过电场和磁场对等离子体进行质量分离,并通过法拉第杯和离子计数器分别检测所需同位素的高精度高分辨率质谱系统。


五、实验室人员

图片11.png

张亮亮,副研究员

图片12.png

谢锦程,副教授



六、联系方式

张亮亮,13581858378changialight@163.com

谢锦程,13717744972xiejc@cugb.edu.cn

实验室地点:逸夫楼203

参考文献

Chen, S.R., Wang, Q.*, Zhu, D.C., Weinberg, R.F., Zhang, L.L., Zhao, Z.D., 2021. Reheating and magma mixing recorded by zircon and quartz from high-silica rhyolite in the Coqen region, southern Tibet. American Mineralogist 106, 112–122.

Duan, L.J., Zhang, L.L.*, Zhu, D.C.*, Yang, Y.H., Xie, J.C., Wang, Q., Wu, S.T., Huang, C., Li, C., Xu, W.T., Kamo, S., Xu, L.J., Pan, C.X., Shi, G.H.*, 2023. Apatite MAP-3: a new homogeneous and low common lead natural reference for laser in situ U-Pb dating and Nd isotope analysis. Journal of Analytical Atomic Spectrometry 38, 1478.

Duan, L.J., Zhang, L.L.*, Zhu, D.C., Xie, J.C., Wang, Q., Wu, S.T., Xu, W.T., Kamo, S., Shi, G.H.*, 2023. MAP-2 apatite: A new young age reference material for U-Pb dating with LA-ICPMS analysis. International Journal of Mass Spectrimetry 493, 117121.

Huang, W.W., Zhang, L.L.*, Zhu, D.C., Liu, L.*, Li, X.W., Xie, J.C., Wang, Q., Chi, H.Y., 2025. Age constraints on the Ediacaran carbonate carbon isotope excursions in the Tarim Block: Evidence from in situ UPb dating of dolostone. Precambrian Research, 418, 107691.

Gao, D., Cheng, Z., Zhang, Z., Osmani, Y., Wang, Z., Zhang, L., 2024. Lava–water–sediment interaction: Dolomite UPb dating marks the Cenozoic Ocean–continent transformation in the southwestern Tianshan Mountains. Lithos 466-467, 107463.

Liu, L., Zhu, D.C.*, Wang, Q., Cawood, P.A., Stockli, D.F., Stockli, L.D., Lin, C., Zhang, J.J., Zhang, L.L., Zhao, Z.D., 2022. Leucogranite Records Multiple Collisional Orogenies. Geophysical Research Letters 49, e2021GL096817.

Lu, Y.,, Zhang, L.L.*, Liu, L.*, Zhu, D.C., Xie, J.C., Wang, Q., 2024. A Zircon LA-ICPMS reverse depth profiling analysis method and its geological application. Journal of Analytical Atomic Spectrometry 39, 829.

Wang, K., Zhai, D., Zhang, L., Li, C., Liu, J., Wu, H., 2022. Calcite U-Pb, pyrite Re-Os geochronological and fluid inclusion and H-O isotope studies of the Dafang gold deposit, South China. Ore Geology Reviews 150, 105183.

Wei, D., Gao, Z., Zhang, L., Fan, T., Wang, J., Zhang, C., Zhu, D., Ju, J., Luo, W., 2023. Application of blocky calcite vein LA-MC-ICP-MS U–Pb dating and geochemical analysis to the study of tectonic–fault–fluid evolutionary history of the Tabei Uplift, Tarim Basin. Sedimentary Geology 453, 106425.

Xie, J.C.*, Zhu, D.C.*, Wang, Q., Zhang, L.L., 2023. Zirconium isotopic composition of zircon reference materials by laser ablation multi-collector inductively coupled plasma mass spectrometry. International Journal of Mass Spectrometry 484, 116995.

Xie, J.C.*, Zhu, D.C.*, Wang, Q., Zhang, L.L., Cong, F., Nie, F., Lu, Y.H., Liu, L.,   2022. Ban-1 Zircon: A New Natural Zircon Reference Material for LA-MC-ICP-MS Zr and Hf Isotopic Determinations. Geostandards and Geoanalytical Research, doi: 10.1111/ggr.12468.

Yang, S., Zhang, L.-L., Wang, R., Zhu, D.-C., Xie, J.-C., Wang, Q., Xu, W.-T., 2024. Application of high-resolution laser multi collector ICP-MS U–Pb dating to columbite-group minerals with compositional zonation: reassessment of matrix effects among columbite-group minerals. Journal of Analytical Atomic Spectrometry.

Zhang, L.L.*, Zhu, D.C.*, Xie, J.C., Wang, Q., Kamo, S., Rochın-Bañaga, H., Xiao, Y., 2023. TARIM calcite: a potential reference material for laser ICPMS in situ calcite U-Pb dating. Journal of Analytical Atomic Spectrometry 38, 2302.


邮箱: tibetzhu@163.com
地址:北京市海淀区学院路29号逸夫楼